【读书笔记】上帝掷骰子吗?量子物理学史话
如果谁不为量子论而感到困惑,那他就是没有理解量子论。 ——玻尔
Golden Age 黄金时代
1887年,赫兹实验证实了电磁波的存在。
19世纪末的物理学天空中闪烁着金色的光芒,象征着经典物理帝国的全盛时代。这样的伟大时期在科学史上是空前的,或许也将是绝后的。然而,这个统一的强大帝国却注定了只能昙花一现。喧嚣一时的繁盛,终究要像泡沫那样破灭凋零。
“物理学的未来,将只在小数点后第6位后面去寻找。”
不祥之兆
在赫兹观察电磁波产生的电火花的时候,发现了一个奇怪的现象:当没有光照射到接收器的时候,接收器的电火花所能跨越的最大距离一下子就缩小了。换句话说,没有光照时,两个小球必须靠得更近才能产生火花。假如我们重新让光(特别是高频光)照射接收器,则电火花的出现又变得容易起来。赫兹对此百思不得其解,他自己也不知道,他已经亲手触摸到了“量子”这个还在沉睡的幽灵,虽然还没能将其唤醒,却已经给刚刚到达繁盛的电磁场论安排了一个可怕的诅咒。
1895年,伦琴(Wilhelm Konrad Rontgen)发现了X射线;
1896年,贝克勒尔(Antoine Herni Becquerel)发现了铀元素的放射现象;
1897年,J.J.汤姆逊(Joseph John Thomsom)在研究了阴极射线后认为它是一种带负电的粒子流。电子被发现。
1899年,卢瑟福(Ernest Rutherford)发现了元素的嬗变现象。
Dark Clouds 乌云
“动力学理论断言,热和光都是运动的方式。但现在这一理论的优美性和明晰性却被两朵乌云遮蔽,显得黯然失色了······” ——开尔文
迈克尔逊-莫雷实验
实验失败,没有证明以太的存在,几乎可以说是否定了牛顿的绝对空间论。
最终导致了相对论革命的爆发。
黑体辐射
最终导致了量子论革命的爆发。
物体的辐射能量、频率和温度之间有着一定的函数关系。从粒子的角度和波的角度出发可以分别得到不同的公式,但都只能适用于特殊的情况。
1900年10月19日,普朗克用纯数学的方法侥幸拼凑出了普朗克黑体公式。
普朗克经过紧张的几个星期的工作,发现了一个完全意想不到的情况:如果要使这个方程成立,就必须做一个假定:
假定能量在发射和吸收的时候,不是连续不断的,而是分成一份一份的。
正是这个假定,推翻了自牛顿以来200多年,曾被认为是坚不可摧的经典世界。
普朗克发现,能量的传输也必须遵照这种货币式的方法,一次至少要传输一个确定的量,不可以无限细分。能量的传输,必须有一个最小的基本单位,能量只能以这个单位一份份地发出,而不能出现一半或四分之一这种情况。
1900年12月14日是量子的诞辰。普朗克发布了论文《黑体光谱中的能量分布》,其中描述了自己的发现。他将能量的最小单位称为“能量子”(Energieelement),随后又改称其为“量子”(Elementarquantum)。一切的能量传输,都只能以这个量为基本单位,只能传输任意整数个量子。
最小的能量单位:E=h·ν,ν是频率,h是普朗克常数。
一场前所未有的革命已经到来,一场最为反叛和彻底的革命,也是最具有传奇和史诗色彩的革命。一切都是从这个叫作马克斯·普朗克的男人那里开始的。
连续性和芝诺悖论
在被称为“普朗克尺度”的范围内,空间和时间的连续性似乎丧失了。量子论告诉我们,也许“无限分割”的概念只是一种数学上的理想,而不可能在现实中实现。一切都是不连续的,连续性的美好蓝图,说不定只是我们的一种想象。
量子论的成长
量子论的成长史,更像是一部艰难的探索史,其中的每一步都充满了陷阱、荆棘和迷雾。量子的诞生伴随着巨大的阵痛,它的命运注定将要起伏而多舛,甚至直到今天,它还在与反对者们不懈地搏斗。量子论的思想是如此反叛和躁动,以至于它与生俱来地有着一种对抗权贵的平民风格;而它显示出来的潜在力量又是如此地巨大而近乎无法控制,这一切都使得所有人对它怀有深深的惧意。
量子论不像牛顿力学或者爱因斯坦相对论,它的身上没有天才的个人标签,相反,整整一代精英共同促成了它的光荣。
Falling Fireball 火流星
光
光电效应(Photoelectric Effect)被发现,并且人们发现了两个无法理解的事实:
- 对于某种特定的金属,光是否能从其表面打击出电子来,这只和光的频率有关。频率高的光能够打击出能量较高的电子,而频率低的光则一个电子也打不出来。
- 能否能打出电子,与光的强度无关。再弱的紫外线也能够打出金属表面的电子,而再强的红光也无法打出。增加光强,能够做到的只是增加打击出的电子的数量。
总而言之,对于特定的金属,能不能打出电子来,由光的频率说了算。而打出多少电子,则由光的强度说了算。这与麦克斯韦的电磁理论完全相反。
同时,实验发现,光一照到金属上,瞬间就会有电子飞出,完全没有麦克斯韦理论的吸收能量的时间,哪怕再弱的光线也是如此。
1905年,爱因斯坦通过E=h·ν发现,提高频率,正是提高单个量子的能量,而更高能量的量子,正好能够打击出更高能量的电子。提高光强,只是增加量子的数量罢了所以相应的结果自然是打击出更多电子。一切突然显得顺理成章起来。
组成光的能量这种最小的基本单位,爱因斯坦将其称为“光量子”,1926年被改称为“光子”(Photon)。但人们对此微粒说都很谨慎。
直到1915年,美国人密立根(R.A.Millikan)想用实验来证实光量子图像是错误的,但结果发现自己在很大程度上证实了爱因斯坦方程的正确性。 光量子引起了人们的注意。
1923年,康普顿在研究X射线被自由电子散射的时候,发现散射出来的X射线分为两个部分,一部分和入射射线波长相同,另一部分波长更长。只有用光量子假设,才可以对此现象进行完美解释。第三次波战争全面爆发。
上帝造了光,爱因斯坦指出了什么是光,而康普顿,则第一个在真正意义上“看到”了光
原子结构
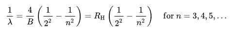
1913年,玻尔在汉森(Hans Marius Hansen)的提示下关注了原子的光谱问题,结果在描述原子光谱问题的巴尔末公式中,玻尔取得了量子论决定性的突破。
“当我一看见巴尔末的公式,一切都清楚不过了。” ——玻尔
巴尔末公式里的n只能是整数,这正是量子化的表述。玻尔做出了推断:电子的能级不是连续而任意的,而是有一定条件。量子化理论必须成为原子理论的主宰。
Into the Mist 白云深处
新原子结构
不仅电子能量是量子化的,甚至连原子在空间中的运动方向都必须加以量子化:电子的轨道平面具有角度,其法线要么平行于磁场方向,要么垂直于磁场方向,不存在其它情况。1922年,奥托·斯特恩(Otto Stern)和沃尔特·盖拉赫(Walther Gerlach)进行了斯特恩-盖拉赫实验,证明了此假设。
泡利不相容原理
对于拥有众多电子的重元素来说,为什么它的一些电子能够长期地占据外层电子轨道,而不会失去能量落到低层轨道上去?
1925年,年轻的泡利对此做出了解答:没有两个电子可以享有同样的状态,而一层轨道能够包容的不同状态数目是有限的。也就是说,一个轨道有一定的容量。当电子填满了一个轨道后,其它电子便无法加入到这个轨道中。这就是“不相容原理”(The Exclusion Principle)。
不彻底的革命
玻尔的理论被评价为“半经典半量子”,后期出现了越来越多无法攻破的堡垒。比如“反常塞曼效应”(Anomalous Zeeman Effect),这种现象要求引入值为1/2的量子数。
另外,下玻尔的理论只能正确解释只有一个电子的模型(氢原子、电离的氦原子等),但在所有拥有两个或两个以上电子的模型中,玻尔的理论都无法解释。甚至对于只有一个电子的原子来说,也只有谱线的频率,至于强度、宽度或偏振问题,都无法解释。
玻尔的革命是一场不彻底的革命,量子的假设没有在他的体系中得到根本的地位,只是一个调和经典理论与现实矛盾的附庸。
但是,玻尔的模型至今仍是相当好的近似,它描绘的原子图景虽然过时,却是如此形象生动,直到今天仍是大人心中的样式。
1919年,量子力学的三大巨头,普朗克、爱因斯坦和玻尔在柏林展开了讨论。玻尔认为,电子在轨道间的跃迁似乎是不可预测的,是一个自发的随机过程,至少从理论上无法得出一个电具体的跃迁条件。爱因斯坦对此大摇其头,认为任何物理过程都是确定和可预测的。这埋下了两人日后那场旷日持久争论的种子。
德布罗意波
1923年,德布罗意发现,电子在前进的时候,本身总是伴随一个波,并将此作为博士论文提交。在博士答辩中,他做出预言,电子在通过一个小孔或晶体的时候,会出现一个可观测的衍射现象。
这是颁发过的含金量最高的学位之一。德布罗意是有史以来第一个仅凭借博士论文就直接获取诺贝尔奖的例子。
1927年,戴维逊和革末通过实验精确地证明了电子的波动性。同年,G.P.汤姆逊进一步证明了电子的波动性。
所有数据,都和德布罗意的预言吻合得天衣无缝,电子,绝对是一种波。
现在的问题已经不再仅仅是光到底是粒子还是波,现在的问题还有电子到底是粒子还是波,你和我到底是粒子还是波,这整个物质世界到底是粒子还是波。
玻色子
印度人玻色(S.N. Bose)把光看作是不可区分的粒子的集合,从这个简单的假设出发,一手推导出了普朗克的黑体公式。爱因斯坦进一步完善玻色的思想,发展出了后来在量子力学中具有举足轻重地位的玻色-爱因斯坦统计方法。服从这种统计的粒子被称为“玻色子”(boson),它们不服从泡利不相容原理。
物理学的十字路口
1925年,物理学真正走到了一个十字路口。
“物理学家们不得不在星期一、三、五把世界看成是粒子的,在星期二、四、六则把世界看成波。到了星期天,他们不知如何是好,干脆就待在家里祈祷上帝保佑。”
The Dawn 曙光
海森堡矩阵力学
1924年9月17日,海森堡抵达哥本哈根的玻尔研究所。
1925年4月27日,海森堡回到哥廷根。他认为,物理学应该有坚固的基础,只能从一些直接可以被实验观察和检验的东西出发。对于原子光谱能级的问题,我们观测不到能量,只能观测到能量差,因此一切理论应该从能量差中出发进行研究。他基于此,建立起了新的量子力学——矩阵式。(海森堡对“矩阵”这个东西毫不知情,他实际上不知不觉地重新发明了矩阵这个东西。)
数学解释一切,我们的想象是靠不住的。
数学在某种意义上来说总是领先的。Cayley创立矩阵的时候,自然想不到它后来会在量子论的发展中起到关键作用。同样,黎曼创立黎曼几何的时候,又怎会料到他已经给爱因斯坦和他伟大的相对论提供了最好的工具。
波恩和约尔当给海森堡的理论打下了一个坚实的数学基础,写出了著名论文“论量子力学”,发表在《物理学杂志》上,奠定了矩阵力学的基础。这种新力学其实是牛顿力学的一个扩展,老的经典力学其实“包含”在我们的新力学中,成为一种特殊情况下的表现形式。
狄拉克从不遵守交换率出发,通过“泊松括号”建立了一种新的代数——q数。可以更简洁地解决量子问题。
1925年秋天,电子自旋被证明。电子的自旋并不能被相像成传统行星的那种自旋,它具有1/2的量子数,也就是说,它要转两圈才露出同一个面孔,这里面的意义只能由数学来把握。
人们后来回忆那个时代,简直像是在讲述一个童话。物理学家们一个个都被洪流冲击得站不住脚:节奏快得几乎不给人喘息的机会,爆炸性的概念一再地被提出,每一个都足以改变整个科学的面貌。但是,每一个人都感到深深的骄傲和自豪,在理论物理和黄金年代,能够扮演历史舞台上的那一个角色。人们常说,时势造英雄,在量子物理的大发展时代,英雄们的确留下了最最伟大的业绩,永远让后人心神向往。
Two Sides of One Coin 殊途同归
薛定谔波动方程
1925年,埃尔文·薛定谔信任了德布罗意的思想。为了描述电子能量不连续的现象,他将电子看成德布罗意波,用一个波动方程去表示他。最后求出了薛定谔波动方程:
现在,我们能够非常形象地理解为什么电子只能在某些特定的能级上运行了:振动的弦首尾相连后,其的长度只能是波长的整数倍。
1926年4月,薛定谔、泡利、约尔当都各自证明了两种力学在数学上来说是完全等价的。它们都是从经典的哈密顿函数而来,只不过一个是从粒子的方程出发,另一个是从波动方程出发罢了。
经典物理和现代物理的物理量
在经典物理学中,通常先有物理量的定义,再去寻找它们的数学关系。比如我们先知道力F、加速度a和质量m的概念,之后才会理解F=ma的意义。但现代物理学的路子往往可能是相反的:科学家很可能会先定义某个函数F,让F=ma,然后再去寻找F的物理意义。
薛定谔的波动函数,就是在空间中定义的某种分布函数,只是人们还不知道它的物理意义是什么。
骰子
1926年7月,波恩将薛定谔波函数解释为骰子。它代表的是一种随机、一种概率,而绝不是薛定谔本人所理解的电子电荷在空间中的实际分布。波恩表示,波动函数的平方,代表了电子在某个地点出现的“概率”。电子本身不会像波那样扩展开去,但是它的出现概率则像一个波,严格地按照波函数的分布所展开。
决定论 Determinism
宇宙从出生的一刹那起,就有一个确定的命运。我们现在无法了解它,只是因为我们所知道的信息太少了而已。
“这里出现的是整个决定论的问题了。” ——波恩
每次我们只能在一条缝上测量到电子,但是一旦我们展开这种测量,干涉条纹也就消失了。
Uncertainty Principle 不确定性
海森堡不确定性原理
1927年,海森堡发现,在矩阵力学中p×q≠q×p,这就是说,先观测动量p,再观测位置q,这和先观测q再观测p,其结果是不一样的。他认为,为了测量电子的位置,我们剧烈地改变了它的速度,也就是动量。我们没法同时既准确知道一个电子的位置,同时又准确地了解它的动量。
海森堡最后得出了一个公式:Δp×Δq > h/4π,他于1927年3月23日将其在《物理学杂志》上发表。
我们无法同时准确知道p和q的信息,这种奇特的量被称为“共轭量”,这样的量还有许多。比如能量E和时间t,二者关系为:ΔE×Δt > h。
波尔认为,不确定性也出自波动性,根据德布罗意波长公式λ=h/mv,mv就是动量p,所以p=h/λ。因此,对于每一个动量p来说,总是有一个波长的概念伴随它。对于E—t关系来说,E=hν依然有波动概念在里面。
不确定性是建立在波和粒子的双重基础上的,它其实是电子在波的粒子之间的一种摇摆:对于波的属性了解得越多,关于粒子的属性就了解得越少。
量子涨落
由ΔE×Δt > h可知,t测量得越准,E就越不确定。所以在非常非常短的一刹那,也就是t非常确定的一瞬间,即便是在真空中也会出现巨大的能量起伏。这种能量完全是靠着不确定性而凭空出现的,它的确违反了能量守恒定律!但是这一刹那极短,人们还没有来得及发现,它又神秘消失,使得能量守恒定律在整体上得以维持。间隔越短,t就越确定,E就越不确定,可以凭空出现的能量也就越大。
海森堡告诉我们,在极小的空间和极短的时间里,什么都是有可能发生的。
许多人都相信,我们的宇宙本身就是通过这种机制产生的。MIT的科学家阿伦·古斯(Alan Guth)就是从这种想法出发,创立了宇宙“暴胀理论”(Inflation)。
零点能
量子力学中可以计算,就算在绝对零度的时候,任何振子仍然保有一个极其微小的能量:E=hν/2,也就是半个量子的大小,这个内禀的能量无法消除。这个基本能量被称作“零点能”(zero-point energy),它就是量子处在基态时的能量。
电子的“真身”
玻尔认为,电子的“真身”?电子的原形?电子的本来面目?电子的终极理念?这些都是毫无意义的单词,对我们来说,唯一知道的只是每次看到的电子是什么。我们看到电子呈现出粒子性,又看到电子呈现出波动性,那么我们就假设它是粒子和波的混合体。我们一点都不关心电子“本身”是什么,那是没有意义的。事实上玻尔也不关心大自然“本来”是什么,他只关心能够“观测”到的大自然是什么。电子是个粒子又是个波,但每次我们观测它,它只展现出其中一种的一面,这里的关键是我们“如何”观测它,而不是它“究竟”是什么。
电子是粒子还是波,那要看你怎么观察它。
互补原理 The Complementary Principle
波和粒子在同一时刻是互斥的,但它们却在一个更高的层次上统一在一起,作为电子的两面被纳入一个整体的概念中。也就是“波粒二象性”。
我们终于明白,电子如何表现,完全取决于我们如何观测它。测量它的位置,它就展现出粒子性,同时也就没有干涉。不进行这样的企图,电子就表现出波动性来。
哥本哈根派理解的真相
量子物理学家现在终于逐渐领悟到了事情的真相:我们的结论和我们的观测行为本身大有联系。
事实上,没有什么“客观真相”。讨论一个东西“本质上”是什么样的是很无聊的行为、每一个论断都是结合某种观测方式而作出的,如果脱离了观测手段,就根本不存在一个绝对的“本质”。
在量子论中没有外部世界和我之分,我们和客观世界天人合一,融合成一体,我们和观测物互相影响,使得测量行为成为一种难以把握的手段。在量子世界,一个电子并没有什么“客观动量”,我们能谈论的,只有它的“测量动量”,而这又和我们的测量手段密切相关。
“如果谁不为量子论而感到困惑,那他就是没有理解量子论。” ——玻尔
玻尔的海森堡认为,假如一个物理概念是无法测量的,它就是没有意义的。因为如今我们自己也已经融入这个世界了,对于这个物合一的世界来说,任何东西应该都是可以测量和感知的。只有可观测的量才是存在的!换言之,不存在一个客观的、绝对的世界。唯一存在的,就是我们能够观测到的世界、
在概率解释、不确定性原理和互补原理这三大核心原理中,前两者摧毁了经典世界的(严格)因果性,互补原理和不确定性又合力捣毁了世界的(绝对)客观性。新的量子图景展现出一个前所未有的世界,它是如此奇特,难以想象,和人们的日常生活格格不入,甚至违背我们的理性本身。但是,它却能够解释量子世界一切不可思议的现象。
严格来说,电子在没有观测的时候什么也不是,谈论它是无意义的,只有数学可以描述——波函数。事实上不存在电子这个东西,只存在我们与电子之间的观测关系。
The Duel 决战
1927年,第五届索尔维会议举办,讨论很快变成了一场爱因斯坦和玻尔之间的决斗。
爱因斯坦像一个弹簧玩偶,每天早上都带着新的主意从盒子里弹出来,而玻尔则从云雾缭绕的哲学中找到工具,把对方所有的论据都一一碾碎。 ——埃仑费斯特
统计学的规律把微观上的无法无天抹平成为宏观上的井井有条。
EPR佯谬
爱因斯坦的潜意识里,一直有一个经典的“实在”影像。他认为,两个粒子在观察之前,分别都有“客观”的自旋状态存在。而波尔认为,当没有观测的时候,不存在一个客观独立的世界,所谓“实在”只有和观测手段连起来讲才有意义。在观测前,并没有两个粒子,而只有一个粒子。
量子论取得的成就是无可怀疑的,但人们一直无法确认它的真实面目所在,这争论一直持续到今天。
At the Crossroads 歧途
1932年,冯·诺伊曼(John Von Neumann)出版了《量子力学的数学基础》,将量子力学从数学上严格化。
冯·诺伊曼指出,从另一个角度来看,假如我们把用于测量的仪器也加入到整个系统中去,这个大系统的波函数从未彻底坍缩过!
那是什么让波函数坍缩的,难道是人的意识?
意识
什么是意识?意识是能成脑子的原子群的一种“组合模式”。
参与性宇宙 The Participatory Universe
延迟实验证明,光子可以根据“未来”的事件,去选择自己“过去”的行为。哥本哈根派解释为:在量子论看来,历史不是确定和实在的——除非它已经被记录下来。
这说明,宇宙的历史可以在已经发生之后才被决定究竟是怎样发生的。
宇宙也是一样,直到它被某个高级生物观察之后才成为确定,我们的观测行为本身参与了宇宙的创造过程,这就是“参与性宇宙”模型。宇宙本身没有一个确定的答案,而其中的生物参与了这个谜题答案的构建本身。
因此,关于宇宙的问题必然是有前提的:无论如何,你首先得保证有一个“人”来问问题,不然就没有意义了。
比如说,宇宙必须以这样一个速度膨胀,不然就没有“你”来问问题了。因为只有以这样一个速度膨胀,生命和智慧才有可能诞生,从而使问题的提出成为可能。
这似乎是一个逻辑循环:我们选择了宇宙,宇宙又创造了我们。这件怪事叫作“自指”或“自激活”(Self-excting),意识的存在反过来又创造了它自身的过去。
正统观念
“意识”似乎走得太远了,更多人不是选择一种更“正统”的观点。然而所谓“正统观念”其实是一种鸵鸟政策,它实际上就是把这个问题抛在一边,简单地假设波函数一观测就坍缩,而对它如何坍缩,何时坍缩,为什么会坍缩不闻不问。量子论只要在实际中管用就行了,我们更为关心的是一些实际问题,而不是这种玄之又玄的阐述。
多世界解释 Many World Interoretation
1954年,休·埃弗莱特(Hugh Everett III)发表了多世界理论(MWI)。按照他的看法,波函数从未坍缩,而是世界和观测者本身进入了叠加状态。
但不幸的是,埃弗莱特使用了一个引起歧义的词“分裂”。宇宙的分裂严格来说是一种误解,分裂只是一种比喻。
相空间:粒子有位置和动量,都是三维的量,所以用6维空间中的一个点可以描述一个普通物理粒子的经典行为,我们这个构造出来的高维空间就是系统的相空间。
MWI认为,根本就没有所谓的“坍缩”,在任何时刻,任何孤立系统的波函数都严格地按照薛定谔方程演化。
MWI的关键在于,虽然宇宙只有一个波函数,但这个极为复杂的波函数却包含了许许多多互不干涉的“子世界”。宇宙的整体态矢量实际上是许许多多子矢量的叠加之和,每一个子矢量都是在某个“子世界”中的投影,分别代表了薛定谔方程的一个可能的解。
按照MWI,宇宙始终只有一个,它的状态可以为一个总体波函数所表示,这个波函数严格而连续地按照薛定谔方程演化。但从某一个特定的“世界”的角度来看,则未必如此。
Back to Eden 回归经典
退相干理论 Decoherence Theroy
但为什么我们感受不到其它世界,而微观粒子就可以呢?
进入70年代后,泽(Dieter Zen)、苏雷克(Wojciech H.Zurek)、盖尔曼(Murray Gell-Mann)等科学家们提出了一种巧妙的理论,至今已得到大部分人的支持和公认,这就是退相干理论。
当我们只谈论微观的物体时,牵涉到的粒子数量是极少的,用以模拟它的希尔伯特空间维数相对也较低。而一旦我们考虑宏观层面上的事件,比如用某仪器去测量,或者我们亲自去观察的时候,我们就引入了一个极为复杂的态矢量和一个维数极高的希尔伯特空间。在这样一个高维空间中,两个“世界”之间的联系被自然地抹平了,它们互相正交,彼此失去了联系。
在与环境发生复杂的相互纠缠作用后,两个世界戏剧性地变为正交而互不干涉,这个过程就叫“离析”或“退相干”。用严格的数学来表达,当复杂系统与环境干涉之后,它的“密度矩阵”就迅速对角化而退化为经典概率。
MWI的一个副产品是,它重新回归了经典的决定论。
但如果多宇宙论是正确的,那么我们得到的推论是:一旦一个“意识”开始存在,从它自身的角度来看,它就必定永生。
量子计算机
在量子计算机里,一个bit不仅只有0或1的可能性,它更可以表示一个0和1的叠加。一个比特可以同时记录0和1,我们把它称作一个“量子比特”(qubit)。
量子加密技术:永无可能破解的加密方法。
玻姆隐变量理论
在大卫·玻姆(David Bohm)的理论里,我们必须将电子想像成这样一种东西:它本质上是一个经典的粒子,但以它为中心发散出一种势场,这种势场弥漫在整个宇宙中,使它每时每刻都对周围的环境了如指掌。当一个电子向一个双缝进发时,它的量子势会在它到达之前便感应到了缀缝的存在,从而指导它按照标准的干涉模式行动。如果我们试图关闭一条狭缝,无处不在的量子势便会感应到这一变化,从而引导电子改变它的行为模式。
Judgement of the Inequality 不等式的判决
贝尔不等式 Bell’s inequality
|Pxy - Pzy|≤1+Pxy
1964年,贝尔证明,在量子论中,只要我们把x和y之间的夹角取得足够小,则贝尔不等式是可以被突破的。因为在量子世界中,AB两粒子在相隔非常远的情况下,在不同方向上仍可以表现出很高的协作程,使贝尔不等式不成立。
1980年,法国奥赛理论与应用光学研究所第一次在精确意义上对EPR作出检验。实验结果与量子论的预言完全符合,爱因斯坦输了。
1990年,GHZ实验再次否定了定域实在性。
人们必须面对这样一个事实:实验否决了经典图景的可能性!定域的隐变量理论是不存在的!
也就是说,我们的世界不可能如同爱因斯坦所梦想的那样,既是定域的(没有超光速信号的传播),又是实在的(存在一个客观确定的世界,可以为隐变量所描述)。定域实在性(Local Realism)从我们的宇宙中被实验排除了出去,现在我们必须作出艰难的选择:要么放弃定域性,要么放弃实在性。
系综解释 The Ensnmble Interpretation
把量子论看作一种纯统计的理论:它无法对单个系统作出任何纳预测,它所推导出的一切结果,都是一个统计上的概念。
从某种程度上来说,系综主义者采取的是一种“眼不见为净”的做法。
“单个系统”中究竟发生了什么,这在量子力学中是不被允许讨论的。我们这个世界的所有属性,都是统计性质的,而单个事件呢?单个事件没有属性。 ——John Taylor
New Adventures 新探险
退相干历史 Decoherent Histories
1984年,格里菲斯(Robert Griffiths)提出。与MWI类似,但世界只有一个,历史有很多。
在DH解释中,当我们计算两个粗略历史之间的干涉时,我们实际上就“遍历”了下所有可能的精细历史之间的干涉,而这些干涉往往互相抵消。历史越“粗略”,这种抵消就越干净。
如果DH解释是正确的,那么宇宙每时每言刻其实仍然经历着多重的历史,世界上的每一个粒子,事实上都仍处在所有可能历史的叠加之中!只不过当涉及宏观物体时,由于我们所能够观察和描述的无非是一些粗略化的历史,这才产生了“非此即彼”和假象。假如我们有超人的能力,可以分辨“猫死”或“猫活”下的每一种精细历史,我们就会发现,这些历史仍然是纠缠而相干的。
在DH解释里,一个物体有着怎样的“属性”,这依然不取决于它本身,而取决于你将它归类到哪种系综里面。总而言之,DH和系综解释可谓换汤不换药,宇宙有什么样的历史,依然是我们主观上定义出来的!
也许很多人没有意识到,时间只能向着未来流逝,而不能反过来,这件事正是我们神奇的宇宙最不可思议的性质之一。
量子场论 Quantun Field Theory
这一工作由狄拉克开始,经由约尔当、海森堡、泡利和维格纳。人们意识到,所有粒子都是弥漫在空间中的某种场,这些场有着不同的能量形态,而当能量最低时,这就是我们通常说的“真空”。因此,真空其实只不过是粒子的一种不同形态(基态)而已,任何粒子都可以从中被创造出来,也可以互相湮灭,狄拉克的方程更预言了所谓的“反物质”的存在。
1932年,加州理工的安德森(Carl Anderson)发现了最早的“反电子”。
量子论将何去何从
量子论是如此与众不同,即使在它被创立了90年之后,它竟还没有被完成。
“我做实验的唯一目的,就是给别的物理学家看看,量子论究竟有多奇怪。” ——Zeilinger
量子论在物理界的几乎每一个角落都激起激动人心的浪花:
- 在固体物理中,打开了通向凝聚态物理这一崭新世界的大门;
- 真正认识了电流的传导,使得对于半导体的研究成为可能,最终走向微电子学;
- 在分子物理领域,解释了化学键和轨道杂化,开创了量子化学学科。
- 材料科学在其的影响下开始深刻地影响社会的方方面面;
- 在量子论的指导下,我们认识了超导和超流,掌握了激光技术,造出了晶体管和集成电路,引发了信息化时代的到来;
- 我们必须借助量子论才能把握恒星的命运;
很有可能,我们对宇宙终极命运的理解也离不开量子论。
如果仅从实用性的角度而言,我们倒可以毫不犹豫地下结论说:量子论比相对论更加“有用”。
无边界假设
宇宙的起点并没有一个明确的边界,时间并还是一条从一点开始的射线,相反,它是复数的!时就像我们地球表面,并没有一个地方可以称为“起点”。
量子论和广义相对论
量子电动力学认为,电磁力的本质是两个粒子之间不停地交换光子的结果。
日本物理学家汤川秀树预言,强相互作用力和弱相互作用力必定也是类似的机制。只不过在强相互作用力中,被交换的不是光子,而是“介子”(meson),而弱作用力中交换的则是“中间玻色子”。
在60年代,美国人丁香叶忍冬拉肖(Sheldon Glashow)、温伯格(Steven Weinberg)和巴基斯坦人萨拉姆(Aldus Salam)成功地从理论上证明了弱作用力和电磁力的一致性,他们的成果被称为“电弱统一理论”。80年代,该理论预言的三种中间下玻色子全部被发现。
量子色动力学:1964年,盖尔曼提出:每一个强子都可以进一步被分割为“夸克”(quark),它们通过交换“胶子”(gluon)来维持相互的作用力。每种夸克既有不同的“味道”,还有不同的“颜色”,这成了“量子色动力学”名称的由来。
大统一理论 Grand Unified Theory
其目标是统一弱相互作用力、强相互作用力和电磁力。
万能理论 Theory of Everything
再统一引力。
超弦 Superstring Theory
1968年,意大利物理学家维尼基亚诺(Gabriel Veneziano)偶然发现欧拉早在1771年就出于纯数学的原因而研究过的函数,竟然可以很好地描述核子中许多强相互作用力的效应。
这个模型在描述粒子的时候等效于描述一根一维的“弦”。弦论()出现。
1971年,施瓦茨和雷蒙(Pierre Ramond)等人合作,在弦论中引入“超对称”的思想,“超弦”理论诞生了。
现在,老的“弦论”已经死去了,新生的是威力无比的“超弦”理论,这个“超”的新头衔,是“超对称”册封给它的无上荣耀。
第一次超弦革命后,我们得到了这样一个图像:任何粒子都是开放或者闭合(头尾相接)的弦,当它们以不同方式振动时,就分别对应短自然界中的不同粒子。我们生活在一个10维的空间里,但是有6个维度是紧紧蜷缩起来的。
我们发现,原本当作是时空中的一个“点”的东西,其实竟然是一个6维的“小球”!这6个维度在不停地扰动,从而造成了全部的量子不确定性。
一直到90年代中期,超弦再次苏醒,完成一次绝地反攻。发现有更为基本的理论,被称为“M理论”。其中时空变成了11维、
Final 尾声
现在,物理学终于又一次走到了决定命运的关头。
其它
物理学不可能完全是一种“实验科学”。如果理论与实验不符,我们既可以认定是理论错了,但也完全可以猜测,也许是实验数据因为某些原因出了差错。因此,把科学简单地定义为“可证伪”是不完备的。
路径积分 Path Ltegral
美国物理学家费曼在1942年发表的一种量子计算方式,是量子力学的一种等价的表达方式。他认为粒子从A点运动到B点时,并没有一个确定的“轨迹”,相反,在他看来,在这个过程中粒子经历了一切可能的路径。
量子不可复制定理 No Cloning Theorem
在传输量子态的同时,一定会毁掉原来的那个原本。
量子纠缠和量子通信
量子纠缠并不违反相对论原理,因为你无法利用这种“超光速”传递信息,并产生逻辑上的自我矛盾。
量子通信,不管是利用纠缠态还是不可克隆原理,它并不能超光速传递信息,它最大的好处是:如果中途遭到窃听,那么由于量子的独特性质,通话对象可以轻易地发现这一点。
玻色子和费米子
玻色子是自旋为整数的粒子,如光子。而费米子的自旋则为半整数,如电子。粗略地说,费米子是构成“物质”的粒子,而玻色子则是承载“作用力”的粒子。
















