【读书笔记】时间的形状
宇宙最神奇之处就在于,它比我们所能想象的还要神奇!
不得不说的废话
把原子弹归咎于爱因斯坦的相对论,就如同把飞机失事的责任,归咎于牛顿的万有引力定律一样。
——霍金 《果壳中的宇宙》
爱因斯坦没有参与原子弹制造,质能公式也不是制造原子弹的理论;
即便没有质能公式,原子弹也一样能造出来,只不过原因仍然会很神秘;
必须了解的四个概念
波普尔的证伪说——科学与伪科学的量尺
所有的物理规律(或者说科学定律)都是无法真正完全“证实”的;
奥卡姆剃刀原理——科学需要什么样的假设
如无必要,勿增实体(Entities should not be multiplied unnecessarily)
如果你发现了一个很奇怪的现象,要对它进行解释就不得不做很多假设,可能不同的解释需要不同的假设,而根据奥卡姆剃刀原理,那个需要假设最少的解释往往是最接近真相的解释。
但如果有某个条件是不能被我们感知和检测到的,那么和没有这个条件根本就是等价的。
思维实验——在大脑中运行的实验
找到矛盾
佯谬——看起来不对但实际上对的
伽利略和牛顿的世界
相对性原理
在任何惯性系中,力学规律保持不变
伽利略变换式
x’ = x - vt
t’ = t
牛顿水桶实验
用旋转着的装水的水桶,用在桶壁上作为视角,证明绝对空间的存在;
(不过我咋感觉这也不符合惯性系定义啊)
光的速度
麦克尔逊——莫雷实验(MM实验)
为了证明以太说而进行的实验,测不同方向光速有无变化;
结果一点变都没有。
狭义相对论
光速不变
电磁波的传播速度只取决于传播介质,与波源的运动速度无关;
比如向平静的湖中扔下一颗石子,不管是垂直从上空扔下去,还是斜着像打水漂一样扔过去,这颗石子产生的涟漪都应该以相同的速度在水中扩散出去;
光速与光源的运动无关,对于任何参考系来说,光在真空中的传播速度恒为c;
物理规律不变
在任何惯性系中,所有物理规律保持不变。
同时性的相对性
时间会膨胀
运动中的光子钟走得会更慢(上下反弹得更慢);
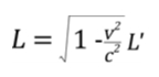
空间会收缩
通过洛伦兹变换式,计算在移动的铁棍的长度。
整个空间都收缩了
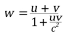
速度合成
通过洛伦兹变换式推导出的新的速度合成公式:
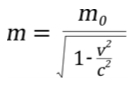
质速关系式
根据动量守恒和新的速度合成公式,既然速度不能无限增大,那么质量就必须增大:
质能公式
通过质速公式修正经典力学的动能公式:
E = mc²
广义相对论
等效原理
在任何参考系中,所有物理规律保持不变。只要在前面加上等效原理的前提即可;
加速度和万有引力是完全等效的。
所以引力会导致光线弯曲;
爱因斯坦圆盘实验
引力造成的其实是时空弯曲,也就是时间和空间同时被弯曲了;
引力场中的圆周率大于π,说明空间是弯曲的;
时空弯曲
在引力越强的地方,时空被弯曲得越厉害,时间变得越慢;
卫星也是同时受到狭义和广义相对论的影响,其中广义相对论效应更显著,因此GPS卫星上的时钟要比地面上的更快;
对于两艘相互远离的飞船,在他们眼中,对方的时间都变慢了,对方都缩小了。
引力的本质
引力的实质并不是一种力,只不过就是空间弯曲的外在表现而已。物体会沿着空间的最短路线运动;
星光实验
为了证明引力会使光线弯曲;
星光掠过太阳时,其曲率估值达到1.7角秒。所以在地球上观察天空中恒星的位置,日全食时与非日食时相比,应该偏离太阳。
黑洞
史瓦西半径:任何天体都存在一个半径临界值,如果小于这个半径,就会变成黑洞。这个半径的大小取决于天体质量;
虫洞
爱因斯坦——罗森桥(虫洞)
其它
“有限无界”的宇宙观
时空
这个宇宙中任何物体的运动速度都是光速c,但是是在时空中运动速度;
没有单纯的空间运动国
时间旅行
在广义相对论中,是通过一个时空的圈环回到过去(霍金称为“类时闭合曲线”)。
祖母悖论的几种外解决方案:
- 自由意志丧失说:无法改变历史的一丁点;
- 时空交错说:只能看,不能摸;
- 多历史说:平行宇宙;
四维时空
闵可夫斯基建立的时空数学模型;
四维时空坐标:所有坐标轴互相垂直,单位统一,且表示时间的维度只能向一个方向运动;
物体在时空中运动的轨迹是“世界线(World Line)”,这根线上的每一个点是“世界点(World Point)”;
光锥
在某一时刻,从某一点发出的光,在四维时空中形成的圆锥体;
“宇宙中的任何事件都只能影响它的将来光锥内的物体,凡是在事件的将来光锥外的物体不全受到该事件的任何影响。”(光锥之内即命运)
按照目前的理论,我们这个宇宙在诞生的时候总共有十个维度,其中有九个空间维度,一个时间维度。经过百亿年的演化,现在六个空间维度已经蜷缩在了微观世界中。
上帝
爱因斯坦对宇宙的认识
一个中心,两个基本点:
- 宇宙是“定域”的:光锥决定了事件的最大影响范围;
- 宇宙是“实在”的:与人类的主观无关;
中心思想:因果律,宇宙的未来早已是一本写好的剧本,必然会按照剧本丝毫不错地演化下去;
双缝干涉实验
一旦在狭缝上装了记录仪,确实可以观测到电子通过了某个狭缝,但一旦电子被观测到了,双缝干涉条纹也就消失了(电子一次只通过一个缝);如果不去观测,条纹又会出现(电子同时通过双缝);
哪怕在电子通过了双缝之后再观测,电子也不再会同时通过双缝;而只要不观测,电子又同时通过双缝了。也就是说,让电子同时还是不同时通过双缝是可以在电子实际通过以后再决定的;
宇宙交响乐
超弦理论
一个个振动着的“橡皮筋圈”就是构成物质的最小单位(振动着的空间),不同的振动频构成了不同的基本粒子。
宇宙中的四种力
- 引力
- 电磁力:磁铁磁力、火车开动、摩擦力等等;
- 弱核力:产生放射性现象的力;
- 强核力:质子中子结合成原子核;
希格斯玻色子模型
它产生了万物的质量(上帝粒子)。

















